k.p dispersion of an unstrained GaN QW embedded between strained AlGaN layers

Input files:
  • 1DGaN_AlGaN_QW_k_zero.nn3

  • 1DGaN_AlGaN_QW_k_parallel.nn3

  • 1DGaN_AlGaN_QW_k_zero_10m10.nn3

  • 1DGaN_AlGaN_QW_k_parallel_10m10.nn3

  • 1DGaN_AlGaN_QW_k_parallel_10m10_whole.nn3

Scope:

In this tutorial we aim to reproduce results of [Park2000]. The material parameters are taken from [ParkChunag2000], except those listed in Table 1 of [Park2000].

[0001] growth direction

Calculation of electron and hole energies and wave functions for \(k_{||}\) = 0

Input file: 1DGaN_AlGaN_QW_k_zero.nn3

The structure consists of a 3 nm unstrained GaN quantum well, embedded between 8.4 nm strained \(\text{Al}_{0.2}\text{Ga}_{0.8}\text{N}\) barriers. The AlGaN layers are strained with respect to the GaN substrate. The GaN quantum well is assumed to be unstrained.

The structure is modeled as a superlattice (or multi quantum well, MQW), i.e. we apply periodic boundary conditions to the Poisson equation.

The growth direction is along the hexagonal axis, i.e. along [0001].

Conduction and valence band profile

Figure 2.5.193 shows the conduction and valence (heavy hole, light hole and crystal-field split-off hole) band edges of our structure, including the effects of strain, piezo- and pyroelectricity. The ground state electron and the ground state heavy hole wave functions (\(\Psi^2\)) are shown. Due to the built-in piezo- and pyroelectric fields, the electron wave function are shifted to the right and the hole wave function to the left (Quantum Confined Stark Effect, QCSE)

../../../../_images/tutorials_1D_kp_dispersion_GaN_QW-GaNAlGaN_band_profile.jpg

Figure 2.5.193 Calculated band edge profile.

Strain

The strain inside the GaN quantum well layer is zero. The tensile strain in the \(\text{Al}_{0.2}\text{Ga}_{0.8}\text{N}\) barriers has been calculated to be

\[e_{xx} = e_{yy} = \frac{a_\mathrm{substrate} - a}{a} = 0.486.\]

[Park2000] gives a value of 0.484.

The output of the strain tensor can be found in this file: strain\strain_crystal.dat

Piezoelectric polarization

The piezoelectric polarization for the [0001] growth direction is zero inside the GaN QW, because the strain is zero in the QW. In the \(\text{Al}_{0.2}\text{Ga}_{0.8}\text{N}\) barriers, the piezoelectric polarization has been calculated to be 0.0081 C/m2 in agreement with Fig. 1(a) of [Park2000] for angle \(\theta\) = 0. The resulting piezoelectric polarization

  • at the \(\text{Al_{0.2}Ga_{0.8}N/GaN}\) interface -0.0081 C/m2 and

  • at the \(\text{GaN/Al_{0.2}Ga_{0.8}N}\) interface is 0.0081 C/m2.

Pyroelectric polarization

The pyroelectric polarization for the [0001] growth direction is -0.029 C/m2 inside the GaN QW. In the \(\text{Al}_{0.2}\text{Ga}_{0.8}\text{N}\) barriers, the pyroelectric polarization has been calculated to be -0.0394 C/m2. The resulting pyroelectric polarization

  • at the \(\text{Al_{0.2}Ga_{0.8}N/GaN}\) interface is -0.0104 C/m2 and

  • at the \(\text{GaN/Al_{0.2}Ga_{0.8}N}\) interface is 0.0104 C/m2.

These results are in excellent agreement with Fig. 1(a) of [Park2000] for angle \(\theta\) = 0.

Poisson equation

Solving the Poisson equation with periodic boundary conditions (to mimic the superlattice) leads to the following electric fields: Inside the GaN QW the electric field has been calculated to be -1.551 MV/cm. [Park2000] reports an electric field of -1.55 MV/cm inside the QW. The electric field in the AlGaN barrier has been found to be 0.554 MV/cm.

The output of the electrostatic potential (units [V]) and the electric field (units [kV/cm]) can be found in these files:

  • bias_00000\potential

  • bias_00000\electric_filed.dat

Schrödinger equation

Figure 2.5.194 shows the electron and hole wave functions (\(\Psi^2\)) of the \(\text{GaN/AlGaN}\) structure for \(k_{||}\) = 0. The heavy and light hole wave functions are very similar in shape.

In agreement with [Park2000], we calculated the electron levels within the single-band effective mass approximation and the hole levels within the 6-band k.p approximation.

../../../../_images/tutorials_1D_kp_dispersion_GaN_QW-GaNAlGaN_wavefunctions.jpg

Figure 2.5.194 Calculated wave functions of lowest eigenstates.

\(k_{||}\) dispersion: Calculation of the electron and hole energies and wave functions for \(k_{||} \neq\) 0.

Input file: 1DGaN_AlGaN_QW_k_parallel.nn3

The grid has a spacing of 0.1 nm leading to a sparse matrix of dimension 1050 which has to be solved for each \(k_{||}\) point for the eigenvalues (and wave functions).

We chose as input:

calculate_dispersion{
    num_points = 1849 # This corresponds to 1849 k|| points in the 2D (kx,ky) plane, i.e. (2 * 21 + 1) * (2 * 21 + 1) = 1849.
}

Due to symmetry arguments, we solved the Schrödinger equation only for the \(k_{||}\) points along the line (\(k_x\) > 0, \(k_y\) = 0), i.e. we had to solve the Schrödinger equation 22 times (i.e. to calculate the eigenvalues of a 1050 x 1050 matrix 22 times).

The energy dispersion \(E(k_{||})\) = \(E(k_y, k_z)\) displayed in Figure 2.5.195 is contained in this folder: bias_00000\Quantum\Dispersion

../../../../_images/tutorials_1D_kp_dispersion_GaN_QW-GaNAlGaN_dispersion.png

Figure 2.5.195 Calculated energy dispersion \(E(k_{||})\) = \(E(k_y, k_z)\).

Because our quantum well is not symmetric (due to the piezo- and pyroelectric fields), the eigenvalues for spin up and spin down are not degenerate anymore. They are only degenerate at \(k_{||}\) = 0. This lifting of the so-called Kramer’s degeneracy in the in-plane dispersion relations is because of the field-induced asymmetry. In Fig. 3 (a) of [Park2000] only the spin-up eigenstates are plotted because the splitting of the Kramer’s degeneracy was assumed to be very small.

[10-10] growth direction (m-plane)

Input file: 1DGaN_AlGaN_QW_k_zero_10m10.nn3

If one grows the quantum well along the [10-10] growth direction, then the pyroelectric and piezoelectric fields along the [10-10] direction are zero. In this case, the quantum well (i.e. the conduction and valence band profile) is symmetric.

Figure 2.5.196 shows the electron and hole wave functions (\(\psi^2\)) of the (10-10)-oriented GaN/AlGaN QW for \(k_{||}\) = 0. Obviously, the interband transition matrix elements (i.e. the probability for electron-hole transitions) are much larger than for the [0001] growth direction.

In agreement with [Park2000], we calculated the electron levels within the single-band effective mass approximation and the hole levels within the 6-band k.p approximation.

../../../../_images/tutorials_1D_kp_dispersion_GaN_QW-GaNAlGaN_wavefunctions_10m10.jpg

Figure 2.5.196 Calculated wave functions of lowest eigenstates.

\(k_{||}\) dispersion: Calculation of the electron and hole energies and wave functions for \(k_{||} \neq\) 0.

Input file: 1DGaN_AlGaN_QW_k_parallel_10m10.nn3

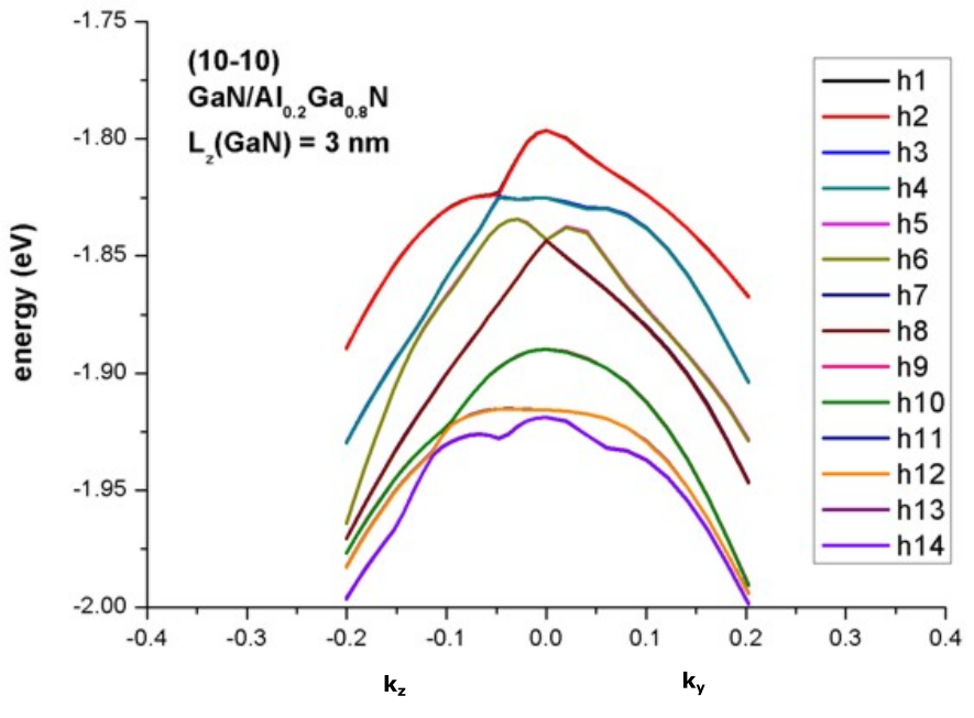
Due to the symmetry of the quantum well, we expect degenerate eigenvalues for the in-plane dispersion relation (Kramer’s degeneracy). Our results, depicted in Figure 2.5.197, compare well with Fig. 3(c) of [Park2000].

../../../../_images/tutorials_1D_kp_dispersion_GaN_QW-GaNAlGaN_dispersion_10m10.png

Figure 2.5.197 Calculated energy dispersion \(E(k_{||})\) = \(E(k_y, k_z)\).


Last update: 2025-11-04